行列式
三阶行列式的求法
按某一行某一列展开计算
转换为上三角矩阵
结果等于主对角线的乘积
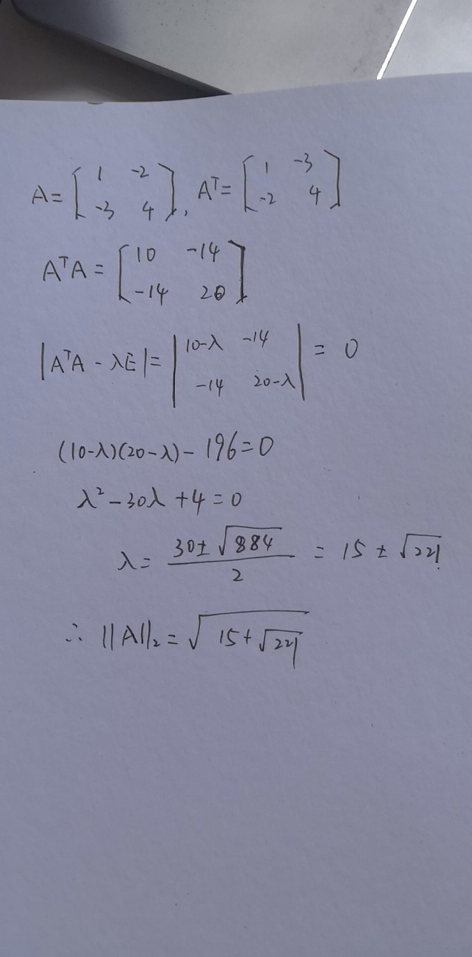
矩阵转置
把矩阵元素aij放到aji的位置
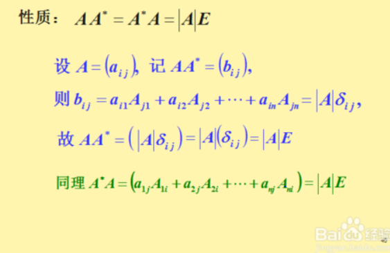
伴随矩阵
二阶矩阵的伴随矩阵等于:主对角线对换,副对角线变号
逆矩阵
概念
设A为n阶矩阵,若存在n阶矩阵B使得:AB=BA=E(单位矩阵),则称A是可逆的且矩阵B是矩阵A的逆矩阵
逆矩阵唯一性证明
若A是可逆矩阵,则A的逆矩阵是唯一的。证明:
求逆矩阵
定义求
初等变换法
伴随阵法
矩阵的特征值和特征向量
奇异方程和非奇异方程
奇异方程的行列式为0
授人以鱼,不如授人以渔。









