数值分析-牛顿法


二分法

不动点迭代

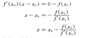
牛顿法

J6OiVO.png

简化牛顿法

JQVzCD.md.png
JQVXE6.md.png
JQVv4O.md.png
JQVjUK.md.png
JQVLHx.md.png

牛顿下山法

重根情形

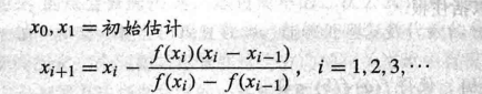
弦截法

单点弦截法

两点弦截法

J6LDgI.png

https://blog.csdn.net/qq_40991687/article/details/102004533


能够摄取必要营养的人要比吃得很多的人更健康,同样地,真正的学者往往不是读了很多书的人,而是读了有用的书的人。

本文标题:数值分析-牛顿法

文章作者:TTYONG

发布时间:2020年04月20日 - 10:04

最后更新:2020年04月26日 - 11:04

原始链接:http://tianyong.fun/%E6%95%B0%E5%80%BC%E5%88%86%E6%9E%90-%E6%B1%82%E8%A7%A3%E6%96%B9%E7%A8%8B.html

许可协议: 转载请保留原文链接及作者。

多少都是爱
0%