数值分析-插值与拟合


插值与拟合

拉格朗日插值

线性插值与抛物插值

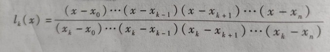
n次插值基函数

tZgy38.md.jpg

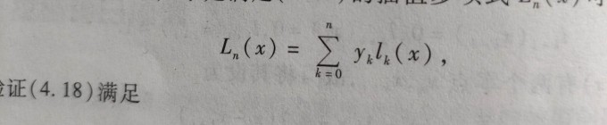
n次拉格朗日插值多项式

tZgs9f.md.jpg

n次插值多项式

习题

tASce1.png

tASWFK.png

tApiT0.md.jpg
tApPwq.md.jpg

teSKzT.jpg


本文标题:数值分析-插值与拟合

文章作者:TTYONG

发布时间:2020年05月27日 - 12:05

最后更新:2020年05月28日 - 17:05

原始链接:http://tianyong.fun/%E6%95%B0%E5%80%BC%E5%88%86%E6%9E%90-%E6%8F%92%E5%80%BC%E4%B8%8E%E6%8B%9F%E5%90%88.html

许可协议: 转载请保留原文链接及作者。

多少都是爱
0%